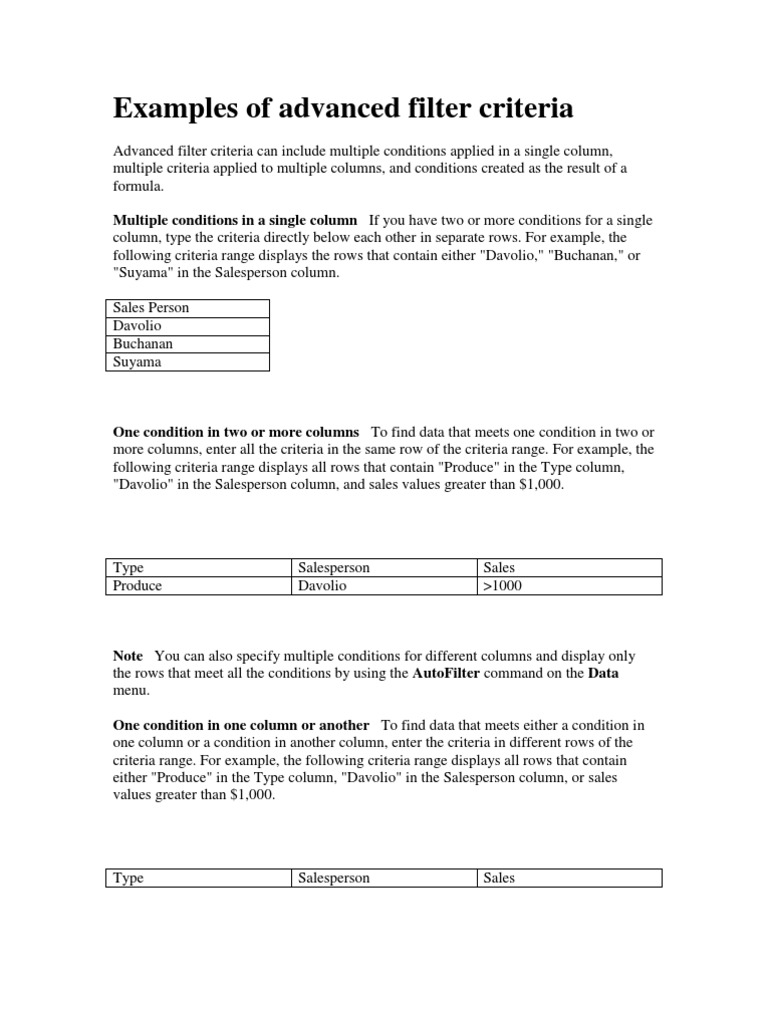
Filter Criteria Example . to enter criteria for your advanced excel filter into a cell, you'll use the format. in this guide, i will show you some cool stuff you can do using the excel advanced filter. to filter data with multiple criteria, you can use the filter function and simple boolean logic expressions. Below is our sample dataset. In the example shown, the formula in f5 is: excel's advanced filter is really helpful when it comes to finding data that meets two or more complex criteria such as extracting matches and. The first equal sign begins the string and the quotations marks. excel filter function using multiple criteria (partial matching) what if instead of a row in the table having to match all the defined filter criteria, we.
from www.exceldemy.com
in this guide, i will show you some cool stuff you can do using the excel advanced filter. In the example shown, the formula in f5 is: excel filter function using multiple criteria (partial matching) what if instead of a row in the table having to match all the defined filter criteria, we. Below is our sample dataset. The first equal sign begins the string and the quotations marks. to filter data with multiple criteria, you can use the filter function and simple boolean logic expressions. excel's advanced filter is really helpful when it comes to finding data that meets two or more complex criteria such as extracting matches and. to enter criteria for your advanced excel filter into a cell, you'll use the format.
Advanced Filter with Criteria Range in Excel (18 Applications) ExcelDemy
Filter Criteria Example Below is our sample dataset. excel's advanced filter is really helpful when it comes to finding data that meets two or more complex criteria such as extracting matches and. to filter data with multiple criteria, you can use the filter function and simple boolean logic expressions. to enter criteria for your advanced excel filter into a cell, you'll use the format. Below is our sample dataset. in this guide, i will show you some cool stuff you can do using the excel advanced filter. excel filter function using multiple criteria (partial matching) what if instead of a row in the table having to match all the defined filter criteria, we. The first equal sign begins the string and the quotations marks. In the example shown, the formula in f5 is:
From www.youtube.com
Filter or Criteria Design Pattern Key Points YouTube Filter Criteria Example The first equal sign begins the string and the quotations marks. In the example shown, the formula in f5 is: Below is our sample dataset. excel filter function using multiple criteria (partial matching) what if instead of a row in the table having to match all the defined filter criteria, we. excel's advanced filter is really helpful when. Filter Criteria Example.
From stringfestanalytics.com
How to filter a dataset by one or more criteria using Excel formulas Filter Criteria Example excel's advanced filter is really helpful when it comes to finding data that meets two or more complex criteria such as extracting matches and. to enter criteria for your advanced excel filter into a cell, you'll use the format. to filter data with multiple criteria, you can use the filter function and simple boolean logic expressions. . Filter Criteria Example.
From help.smartsheet.com
Create Filter Criteria to Control Data in Report Builder Smartsheet Filter Criteria Example excel filter function using multiple criteria (partial matching) what if instead of a row in the table having to match all the defined filter criteria, we. In the example shown, the formula in f5 is: to enter criteria for your advanced excel filter into a cell, you'll use the format. excel's advanced filter is really helpful when. Filter Criteria Example.
From www.exceldemy.com
Advanced Filter with Criteria Range in Excel (18 Applications) ExcelDemy Filter Criteria Example in this guide, i will show you some cool stuff you can do using the excel advanced filter. In the example shown, the formula in f5 is: excel filter function using multiple criteria (partial matching) what if instead of a row in the table having to match all the defined filter criteria, we. The first equal sign begins. Filter Criteria Example.
From www.youtube.com
How to use Filter function in Excel and Filter data based on 1 or 2 or Filter Criteria Example excel's advanced filter is really helpful when it comes to finding data that meets two or more complex criteria such as extracting matches and. excel filter function using multiple criteria (partial matching) what if instead of a row in the table having to match all the defined filter criteria, we. In the example shown, the formula in f5. Filter Criteria Example.
From www.youtube.com
Excel Advanced Filter with Multiple Criteria YouTube Filter Criteria Example to enter criteria for your advanced excel filter into a cell, you'll use the format. in this guide, i will show you some cool stuff you can do using the excel advanced filter. to filter data with multiple criteria, you can use the filter function and simple boolean logic expressions. The first equal sign begins the string. Filter Criteria Example.
From www.youtube.com
How to Use Criteria in Excel Filters and Functions YouTube Filter Criteria Example to filter data with multiple criteria, you can use the filter function and simple boolean logic expressions. excel filter function using multiple criteria (partial matching) what if instead of a row in the table having to match all the defined filter criteria, we. in this guide, i will show you some cool stuff you can do using. Filter Criteria Example.
From crte.lu
How To Use The Filter Function In Excel With Multiple Criteria Filter Criteria Example to filter data with multiple criteria, you can use the filter function and simple boolean logic expressions. Below is our sample dataset. In the example shown, the formula in f5 is: excel filter function using multiple criteria (partial matching) what if instead of a row in the table having to match all the defined filter criteria, we. . Filter Criteria Example.
From www.scribd.com
Examples of Advanced Filter Criteria Sales Formula Free 30day Filter Criteria Example to filter data with multiple criteria, you can use the filter function and simple boolean logic expressions. excel filter function using multiple criteria (partial matching) what if instead of a row in the table having to match all the defined filter criteria, we. Below is our sample dataset. in this guide, i will show you some cool. Filter Criteria Example.
From www.exceldemy.com
Advanced Filter with Criteria Range in Excel (18 Applications) ExcelDemy Filter Criteria Example Below is our sample dataset. In the example shown, the formula in f5 is: excel filter function using multiple criteria (partial matching) what if instead of a row in the table having to match all the defined filter criteria, we. The first equal sign begins the string and the quotations marks. in this guide, i will show you. Filter Criteria Example.
From www.exceldemy.com
Excel VBA Examples with Advanced Filter Criteria (6 Cases) Filter Criteria Example In the example shown, the formula in f5 is: The first equal sign begins the string and the quotations marks. excel filter function using multiple criteria (partial matching) what if instead of a row in the table having to match all the defined filter criteria, we. in this guide, i will show you some cool stuff you can. Filter Criteria Example.
From www.exceldemy.com
Advanced Filter with Criteria Range in Excel (18 Applications) ExcelDemy Filter Criteria Example Below is our sample dataset. The first equal sign begins the string and the quotations marks. to filter data with multiple criteria, you can use the filter function and simple boolean logic expressions. In the example shown, the formula in f5 is: excel's advanced filter is really helpful when it comes to finding data that meets two or. Filter Criteria Example.
From www.exceldemy.com
Advanced Filter with Criteria Range in Excel (18 Applications) ExcelDemy Filter Criteria Example in this guide, i will show you some cool stuff you can do using the excel advanced filter. The first equal sign begins the string and the quotations marks. to filter data with multiple criteria, you can use the filter function and simple boolean logic expressions. In the example shown, the formula in f5 is: excel filter. Filter Criteria Example.
From tech.joellemena.com
How to Use Excel Filter Function to Analyze Multiple Arrays Tech guide Filter Criteria Example Below is our sample dataset. excel's advanced filter is really helpful when it comes to finding data that meets two or more complex criteria such as extracting matches and. to enter criteria for your advanced excel filter into a cell, you'll use the format. in this guide, i will show you some cool stuff you can do. Filter Criteria Example.
From www.youtube.com
Soil Mechanics Simplified Dam Filter Criteria Example YouTube Filter Criteria Example excel's advanced filter is really helpful when it comes to finding data that meets two or more complex criteria such as extracting matches and. to filter data with multiple criteria, you can use the filter function and simple boolean logic expressions. The first equal sign begins the string and the quotations marks. in this guide, i will. Filter Criteria Example.
From www.exceldemy.com
Advanced Filter with Multiple Criteria in Excel (15 Suitable Examples) Filter Criteria Example excel's advanced filter is really helpful when it comes to finding data that meets two or more complex criteria such as extracting matches and. excel filter function using multiple criteria (partial matching) what if instead of a row in the table having to match all the defined filter criteria, we. to enter criteria for your advanced excel. Filter Criteria Example.
From www.exceldemy.com
Advanced Filter with Criteria Range in Excel (18 Applications) ExcelDemy Filter Criteria Example in this guide, i will show you some cool stuff you can do using the excel advanced filter. Below is our sample dataset. excel's advanced filter is really helpful when it comes to finding data that meets two or more complex criteria such as extracting matches and. In the example shown, the formula in f5 is: excel. Filter Criteria Example.
From www.statology.org
Excel Advanced Filter with Multiple Criteria in One Column Filter Criteria Example The first equal sign begins the string and the quotations marks. Below is our sample dataset. excel's advanced filter is really helpful when it comes to finding data that meets two or more complex criteria such as extracting matches and. in this guide, i will show you some cool stuff you can do using the excel advanced filter.. Filter Criteria Example.